Тушение и сокращение испарений аммиака на промышленных объектах.
Аммиак (NH₃) — бесцветный газ с резким запахом. Он легко растворяется в воде, образуя аммиачную воду, и является сильным раздражителем. Аммиак токсичен, в высоких концентрациях может вызывать удушье и химические ожоги. Вместе с тем аммиак – важное химическое соединение с широким спектром применения в промышленности.
История аммиака начинается задолго до его научного изучения. В древности его получали из разложения органических веществ. Первые упоминания о «нашатыре» (одном из соединений аммиака) относятся к Древнему Египту, где его использовали для бальзамирования.
Современная история аммиака началась в XVIII веке, когда английский химик Джозеф Пристли впервые получил вещество в чистом виде в 1774 году. Позже, в 1785 году, французский химик Клод Луи Бертолле определил его химическую формулу – NH₃, и аммиак стал важным объектом изучения в химии.
В XIX веке аммиак начал применяться в химической промышленности, особенно в производстве удобрений и хладагента. Промышленный синтез аммиака был усовершенствован в начале XX века, что привело к его массовому применению в различных отраслях.
Сегодня аммиак производится в промышленных масштабах с использованием процесса Габера-Боша, который был разработан в начале XX века. В этом процессе азот из воздуха реагирует с водородом под высоким давлением и температурой в присутствии катализатора. Это один из ключевых процессов для производства азотных удобрений.
Аммиак имеет достаточно высокую теплоту сгорания (5,4 МДж/м³). При температуре -33,34°C он переходит в жидкое состояние, а при -77,73°C – в твердое. Энергия зажигания составляет около 680 мДж. Аммиак хорошо растворяется в воде и имеет плотность 0,771 г/см³ при комнатной температуре. В жидком состоянии аммиак не горит, однако при испарении он образует пары, которые могут стать воспламеняемыми при достижении определенных концентраций в воздухе. Аммиачные пары могут образовывать взрывоопасные смеси с воздухом в концентрациях от 15% до 28% по объему. В случае наличия источников воспламенения, таких как открытый огонь или искры, такие смеси могут воспламеняться и вызывать взрывы. Аммиак имеет высокую температуру воспламенения (около 651°C), что делает его менее вероятным для самовоспламенения при нормальных условиях. Однако в условиях повышенной температуры и при наличии источника огня его пары могут легко воспламеняться. Также аммиак может реагировать с некоторыми химическими веществами, образуя горючие смеси. В таких случаях риск воспламенения может увеличиться.
Хранится аммиак в сжиженном состоянии под давлением в специальных резервуарах, которые должны быть герметичны, устойчивы к коррозии и обеспечены необходимыми системами безопасности, в числе которых находится и противопожарная защита. Помимо резервуаров для хранения жидкого аммиака, мероприятия по защите предусматриваются на сливоналивных пунктах, компрессорных аммиачно-холодильных установках и насосных станциях, а также на различных технологических установках с обращением аммиака.
Исходя из вышесказанного логично предположить, что надлежащая противопожарная защита на объектах синтеза, хранения и применения аммиака жизненно необходима для предотвращения катастрофических последствий, а также защиты от возможных взрывов и пожаров.
Ликвидация аварий и пожаров на объектах хранения аммиака требует применения комплексного подхода, включающего оперативные действия персонала объекта, использование современного противопожарного оборудования и специализированных систем.
Пожарная безопасность объектов хранения аммиака обеспечивается с учетом следующих нормативных документов:
– Федеральный закон от 21.12.1994 № 69-ФЗ «О пожарной безопасности»;
– Федеральный закон от 22.07.2008 № 123-ФЗ «Технический регламент о требованиях пожарной безопасности»;
– ТР ЕАЭС 043/2017. Технический регламент Евразийского экономического союза «О требованиях к средствам обеспечения пожарной безопасности и пожаротушения»;
– ГОСТ Р 12.3.047-2012 Национальный стандарт Российской Федерации. Система безопасности труда. Пожарная безопасность технологических процессов. Общие требования. Методы контроля;
– СП 155.13130.2014. Свод правил. Склады нефти и нефтепродуктов. Требования пожарной безопасности;
– СП 485.1311500.2020. Свод правил. Системы противопожарной защиты. Установки пожаротушения автоматические. Нормы и правила проектирования;
– Приказ Ростехнадзора от 07.12.2020 № 500 «Об утверждении федеральных норм и правил в области промышленной безопасности «Правила безопасности химически опасных производственных объектов»»;
– ВУП СНЭ-87. Ведомственные указания по проектированию железнодорожных сливо-наливных эстакад легковоспламеняющихся и горючих жидкостей и сжиженных углеводородных газов;
– Рекомендаций по тушению полярных жидкостей в резервуарах и др.
Однако в настоящий момент отсутствуют нормативные документы, конкретизирующие требования по пожарной безопасности на подобных объектах, поэтому для обеспечения пожарной безопасности разрабатываются специальные технические условия, основывающиеся на перечисленных выше документах.
ООО «КОРУФАЙЕР» имеет значительный опыт в оснащения объектов с обращением аммиака средствами пожаротушения и устройствами, снижающими последствия аварий.
Обеспечение пожарной безопасности на объекте включает в себя следующие этапы:
|
|
1. Изучение особенностей объекта, включающее технологические процессы и имеющиеся коммуникаций.
|
|
|
ЛС с поиском пламени |
2. Подбор из широкого перечня продукции наиболее подходящего оборудования, принимая во внимание требования заказчика. |
|
ЛС эжекторный с осциллятором |
||
|
ЛС с теплозащитным экраном |
|
|
3. Контроль процесса изготовления в соответствии с действующими нормативными требованиями. |
|
|
|
4. Монтаж, проверка работоспособности и сдача готовых технических решений. |
Для обеспечения безопасности данных объектов ООО «КОРУФАЙЕР» также предлагает следующее оборудование:
Лафетные пожарные стволы КРФ-ЛС
Служат для подачи мощного и контролируемого потока воды, водных растворов и пены низкой кратности на большие расстояния. Лафетный ствол позволяет работать на безопасном расстоянии от источника возгорания, что важно при тушении пожаров с участием токсичных и взрывоопасных веществ, таких как аммиак. С его помощью производится тушение пожара, охлаждение резервуаров и технологических установок, достигается снижение концентрации паров аммиака в воздухе. Различное исполнение лафетных стволов позволяет существенно повысить их эффективность в зависимости от условий объекта. Лафетный пожарный ствол может быть оснащен:
– осциллирующим устройством, обеспечивающим увеличение площади пожаротушения без участия оператора более чем в 25 раз;
– взрывозащищённым исполнением, позволяющим размещать устройство в местах, где вероятно возникновение взрывоопасной среды;
– датчиками поиска пламени, обеспечивающими самостоятельное нахождение очага пожара, а также автономность работы и корректировку баллистических характеристик струй огнетушащих веществ для качественного и оперативного тушения пожаров;
– теплозащитным экраном для защиты от излучения теплового потока пожара;
– видеокамерой, позволяющей обеспечить возможность визуального контроля обстановки при управлении стволом;
– насадками, позволяющими изменять геометрию струи;
– подъемным механизмом.
Опциональное оснащение лафетного ствола контрольно-измерительными приборами позволяет обеспечивать проектные значения напора, расхода, кратности пены и дальности при подаче огнетушащих веществ.
Генератор пены средней кратности КРФ ГПС
Создает плотный слой огнетушащей пены средней кратности, который эффективно изолирует разлив аммиака, предотвращая тем самым образование взрывоопасной смеси и минимизирует распространение токсичных паров. Генератор пены средней кратности может быть оснащен осциллирующим устройством, что обеспечит увеличение площади пожаротушения без участия оператора более чем в 25 раз. Опциональное оснащения генератора контрольно-измерительными приборами позволяет обеспечивать проектные значения напора, расхода, кратности пены и дальности при подаче огнетушащих веществ.
Генераторы пены высокой кратности КРФ-ГВП
Используются для создания большого объема пены, которая эффективно изолирует и охлаждает зону утечки аммиака, предотвращая его распространение и снижая концентрацию паров в воздухе. Пена высокой кратности помогает подавить возможные возгорания, изолировать аммиак от источников тепла и обеспечить безопасные условия для ликвидации аварий. Она также уменьшает токсичные испарения и риск взрыва в случае возгорания аммиака.
Дренчерный ороситель КРФ-ВПН
Применяется для охлаждения резервуаров и оборудования, а также для разбавления аммиачных паров водой в случае утечки. Это помогает снизить концентрацию паров аммиака в воздухе, предотвратить их воспламенение и распространение.
Пожарная вышка КРФ-ПВ
При пожаре на объектах синтеза, хранения и применения аммиака особенно важно эффективно и безопасно подавать требуемое количество воды и водных растворов поверхностно-активных веществ, в том числе пенообразователя. Пожарная вышка существенно повышает функциональные возможности и эффективность размещаемых на ней лафетных стволов и позволяет обеспечить необходимую дальность подачи.
Пеносмеситель (дозатор) КРФ-ПС
Используется для точного смешивания пенообразователя и воды, создавая раствор необходимой концентрации. В результате этого обеспечивается правильное дозирование пенообразователя, что в свою очередь позволяет обеспечить эффективное тушение и охлаждение зон утечки аммиака. Пеносмеситель играет ключевую роль в обеспечении стабильной работы системы пенного пожаротушения, позволяя контролировать процесс образования пены, которая изолирует аммиак от источников возгорания и предотвращает его распространение.
Узел подключения пожарной техники КРФ-УПТ
Необходим для оперативного подключения мобильной пожарной техники к установкам пожаротушения, обеспечивающим подачу необходимого количества воды и водных растворов поверхностно-активных веществ, в том числе пенообразователя, для тушения пожара и осаждения паров аммиака. Узел подключения пожарной техники может быть оборудован запорной арматурой для регулировки подачи огнетушащих веществ, либо для её прекращения. Опциональное оснащение узла контрольно-измерительными приборами позволяет обеспечивать проектные значения напора и расхода при подаче огнетушащих веществ.
Пожарный фильтр Ф-КРФ
Служит для очистки воды и водных растворов поверхностно-активных веществ, в том числе пенообразователя, от различных твердых загрязнений в системах пожаротушения, таких как ржавчина, песок, камни и т.п., которые в свою очередь могут повредить оборудование или снизить проектную эффективность тушения пожара и осаждения паров аммиака. Уникальная конструкция позволяет при минимальных потерях напора рабочей среды обеспечивать её эффективную очистку. Применяемые в составе изделия фильтрующие элементы сохраняют величину заданных параметров расхода и напора, даже при значительном загрязнении.
Данное оборудование является ключевым в вопросе ликвидации аварий и возгораний на объектах хранения аммиака, поскольку позволяет предотвратить катастрофические последствия, такие как взрывы, масштабные пожары, загрязнение окружающей среды.
В свою очередь нашими специалистами с помощью программных комплексов и разработанных методик проводятся расчеты огнетушащих характеристик имеющегося оборудования под необходимые параметры объекта защиты.
Это позволяет оценить такие характеристики средств подачи огнетушащих веществ, как площадь орошения, интенсивность, дальность подачи и т.д. Определение данных значений позволяет наиболее эффективно обеспечить защиту на объектах хранения аммиака.
Методика определения интенсивности орошения для пожарных лафетных стволов заключается в следующем: перед площадкой, на которую будут выпадать наибольшее количество осадков огнетушащих веществ, устанавливается лафетный ствол и расставляются мерные ёмкости в форме креста.
Далее осуществляется подача ОТВ в течение 3–10 мин, либо до заполнения одной из мерных ёмкостей. Проводится сбор осадков в мерных ёмкостях и вычисляется показатель скорости выпадения осадков (h′, мм/с). При этом сбор осадков и вычисление показателя h′ осуществляется с крайних мерных ёмкостей (от краёв к центру креста). Данная последовательность сбора осадков позволяет определить ёмкости, обозначающие края пятна орошения с требуемым показателем h′ (точки a и b).
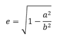
После определения точек a и b на площадь выпадения осадков накладывается система координат XY. Это позволяет рассчитать количество мерных ёмкостей с показателем h′ ≥ 4 мм⋅с–1. Для расчёта необходимо на полученную систему координат наложить эллипс, заранее вычислив его фокусные расстояния – от начала координат до точек F1, F2.
Для определения фокусов находится экстренситет – числовая характеристика конического сечения, показывающая степень его отклонения от окружности. Экстренситет находится по зависимости:
где a – большая полуось эллипса; b – малая полуось эллипса.
Далее определяется фокальное расстояние с по зависимости:
После выявления необходимых значений и наложения на схеме полученного эллипса на крест, составленного из мерных ёмкостей, с учётом определённого ранее расстояния между мерными ёмкостями, подсчитывается количество мерных ёмкостей n, которое войдёт в данный эллипс.
После расстановки мерных ёмкостей в очерченном эллипсе производится повторный сбор осадков с последующей подстановкой данных в зависимости, по которым определяется величина эффективной интенсивности орошения пожарным лафетным стволом.
Данный метод позволяет осуществлять оценку интенсивности пожарных лафетных стволов, как при стандартных условиях испытаний (угол наклона оси ствола 30°, сплошная струя), так и при других различных вариациях угла наклона ствола к горизонту и угла факела распылённой струи, что имеет большую значимость при обосновании технических решений при проектировании на объекте защиты систем обеспечения пожарной безопасности на базе лафетных стволов.
